Lei nº 1.611, de 17 de dezembro de 2024
Art. 1º.
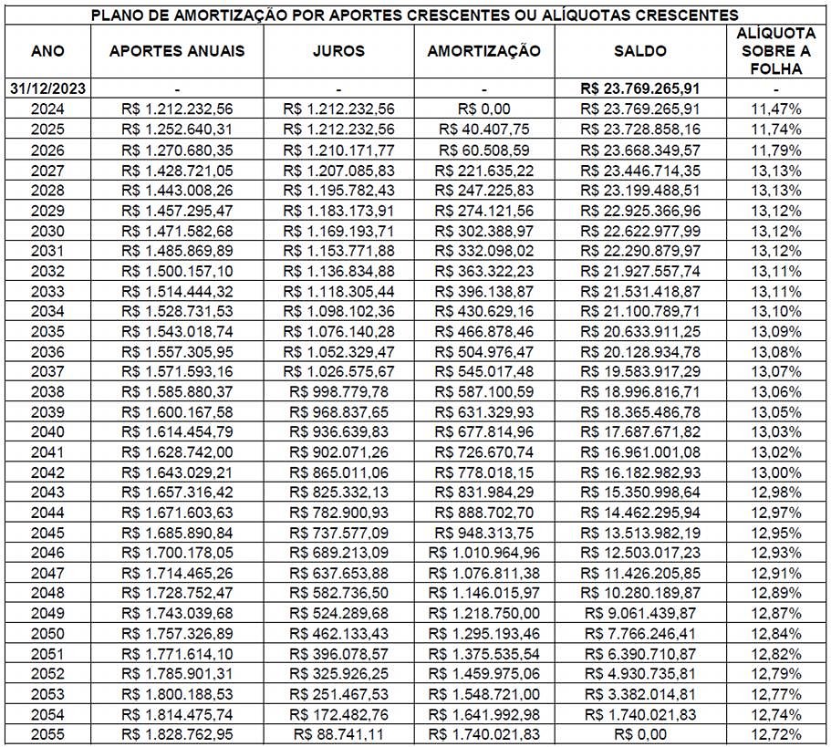
A amortização do déficit técnico do Regime Próprio de Previdência Social de Ângulo será através de aportes financeiros anuais nos próximos 35 (trinta e cinco) anos, sendo que o valor para o exercício de 2024 será de R$ 1.212.232,56 (um milhão, duzentos e doze mil, duzentos e trinta e dois reais, cinquenta e seis centavos), conforme autorizado pela Portaria nº 1467/2022 do Ministério do Trabalho e Previdência.
Parágrafo único
Os valores dos aportes anuais são os previstos no ANEXO I, constantes da avaliação atuarial efetuada pela empresa Actuary, referente a data base de 31/12/2023 e que serão revistos anualmente por decreto, nos termos do artigo 54 da Portaria 1467/2022 MTP.
Art. 2º.
Fica autorizado a abertura de crédito adicional especial no orçamento para a contabilização das despesas relativas a amortização do déficit técnico.
Art. 3º.
Esta Lei entrará em vigor na data de sua publicação, revogadas as disposições em contrário.
"Este texto não substitui o texto original, publicado no Diário Oficial"
